The PC-Controlled Automatic Blaine Apparatus is used to determine particle size of powder materials such as portland cement and lime in terms of their specific surface according to the Blain technique. Measuring cell is 41 mm dia. and the volume is approx. 73 cm³.
After entry of test-specific sample data into the controller, the test is completely automatically carried out and evaluated. The device has an interface for a generally commercially available printer.
PC-Controlled Automatic Blaine Apparatus is supplied complete with;
• Fill oil
• Syringe with tube
• Tamper
• 10 pcs. dust filter (Ø13mm)
• 500 pcs. round filter paper (Ø 41mm)
Purpose of Blaine Test:
The fineness of Portland cements varies between 2800-4000 cm²/g. The Blaine method is the most widely used method for determining fineness. The Blaine method is determined in TS EN 196-6 and ASTM C204 standards.
In this method, in principle, the cement is measured as a specific surface by observing the time that a constant amount of air passes through a compacted cement bed of defined fineness and porosity.
The specific surface of cement under standard conditions is proportional to √𝑡, which is the time (t) that a certain amount of air passes through the compressed cement bed. The size and number of cement grains in the cement bed depend on the cement grain size distribution and this also determines the time taken for the determined air flow.
This test method is a comparative method. For a definite result, the device should be calibrated with a reference sample whose specific surface is known.
Equipments to be Used in the Blaine Experiment:
• A Glass Connection Parts,
• Cell with Perforated Disc and Plunger,
• U Manometer Tube,
• Manometer Liquid
• Plastic funnel
• Filter paper
• Referance Cement
How to Performing the Blaine Experiment:
• Before starting the permeability test, the specific gravity of the cement to be tested must be determined.
• The sample, the specific gravity of which is determined with the help of a pycnometer, is then placed inside the cylindrical cell to form a bed with a porosity ratio of e=0.500. The amount of sample to be used here is calculated with the help of the following formula.
𝑚 = 𝑒 × 𝜌 × 𝑉
𝑚 = 0.500 × 𝜌 × 𝑉
• Here (ρ) gives the density of the cement (gr/cm³) and (V) gives the volume of the cement cell bed (cm³).
• The sample calculated with this expression is carefully placed in the cell with filter paper inside.
• Compression is done with the help of a second filter paper and piston placed in the cell, on top of the sample. Care should be taken not to disturb the cement bed.
• The top of the cylinder is closed with a suitable stopper.
• The tap of the Blaine device is opened and the manometer liquid is raised to the top line by slightly vacuuming, the tap is closed and the manometer liquid level remains constant.
• The stopper on the cylinder is removed and the pressure gauge fluid begins to flow. When the liquid reaches the second line, the stopwatch is started and when the liquid reaches the third line, the stopwatch is stopped.
• Time (t) is recorded with an accuracy of 0.2 s and temperature with an accuracy of 1°C.
• The process is repeated on the same bed and the repeated time and temperature values are recorded.
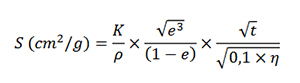
Result:
The fineness of the cement is determined by substituting the obtained reading values in the equation below.

K = device constant,
e = porosity of the bed,
t = measured time, (sec)
ρ = density of cement (gr/cm³),
η = viscosity of air at test temperature.
![]()